Please ensure Javascript is enabled for purposes of website accessibility

Μάθημα : Μαθηματικά για Οικονομολόγους Ι

Κωδικός : ECON1240

ECON1240  -  Κωνσταντίνος Κουνέτας

Ασκηση 2-Πεδίο Ορισμού-Αντίστροφη συνάρτηση -Σύνθεση συναρτήσεων

Ερώτηση 1 (Πολλαπλής Επιλογής (Μοναδική Απάντηση) — 0 βαθμοί) 

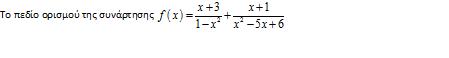
Υπολογιστε το πεδίο ορισμού της παρακάτω συνάρτησης

Ερώτηση 2 (Πολλαπλής Επιλογής (Μοναδική Απάντηση) — 0 βαθμοί) 

Υπολογιστε το πεδίο ορισμού της παρακάτω συνάρτησης

Ερώτηση 3 (Πολλαπλής Επιλογής (Μοναδική Απάντηση) — 0 βαθμοί) 

Υπολογιστε το πεδίο ορισμού της παρακάτω συνάρτησης

Ερώτηση 4 (Πολλαπλής Επιλογής (Μοναδική Απάντηση) — 0 βαθμοί) 

Υπολογιστε το πεδίο ορισμού της παρακάτω συνάρτησης

Ερώτηση 5 (Πολλαπλής Επιλογής (Μοναδική Απάντηση) — 0 βαθμοί) 

Υπολογιστε το πεδίο ορισμού της παρακάτω συνάρτησης

Ερώτηση 6 (Πολλαπλής Επιλογής (Μοναδική Απάντηση) — 0 βαθμοί) 

Να υπολογιστεί η αντίστροφη συνάρτηση της

Ερώτηση 7 (Πολλαπλής Επιλογής (Μοναδική Απάντηση) — 0 βαθμοί) 

Να υπολογιστεί η αντίστροφη συνάρτηση της

Ερώτηση 8 (Πολλαπλής Επιλογής (Μοναδική Απάντηση) — 0 βαθμοί) 

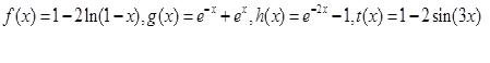
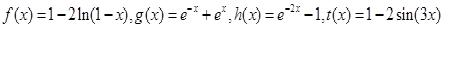
Για τις παρακάτω συναρτήσεις να υπολογίσετε τις συνθέσεις fog,gof.

Ερώτηση 9 (Πολλαπλής Επιλογής (Μοναδική Απάντηση) — 0 βαθμοί) 

Να προσδιορισθεί ο λ για να ισχύει fog=gof όταν

Ερώτηση 10 (Πολλαπλής Επιλογής (Μοναδική Απάντηση) — 0 βαθμοί) 

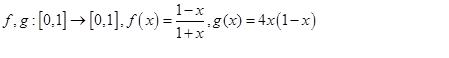
Οι παρακάτω συναρτήσεις είναι "1-1";

Ερώτηση 11 (Πολλαπλής Επιλογής (Μοναδική Απάντηση) — 0 βαθμοί) 

Δίνεται η συνάρτηση f με πεδίο ορισμού το διάστημα [0,1]. Ποιο το πεδίο ορισμού της

Ερώτηση 12 (Πολλαπλής Επιλογής (Μοναδική Απάντηση) — 0 βαθμοί) 

Για τις παρακάτω συναρτήσεις να υπολογίσετε τις συνθέσεις fog,gof.

Ερώτηση 13 (Πολλαπλής Επιλογής (Μοναδική Απάντηση) — 0 βαθμοί) 

Για τις παρακάτω συναρτήσεις να υπολογίσετε τις συνθέσεις fog,gof.

Ερώτηση 14 (Πολλαπλής Επιλογής (Μοναδική Απάντηση) — 0 βαθμοί) 

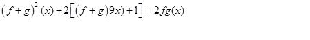
Να βρείτε συνάρτηση f τέτοια ώστε να ισχύει

Ερώτηση 15 (Πολλαπλής Επιλογής (Μοναδική Απάντηση) — 0 βαθμοί) 

Αν οι συναρτήσεις f,g έχουν το ίδιο πεδίο ορισμού και για κάθε x που ανήκει σε αυτό ισχύει ότι δείξτε ότι f=g.