Please ensure Javascript is enabled for purposes of website accessibility

Μάθημα : Μαθηματικά για Οικονομολόγους Ι

Κωδικός : ECON1240

ECON1240  -  Κωνσταντίνος Κουνέτας

Ασκηση 1-Θεωρία Συνόλων -Καρτεσιανό γινόμενο-Σχέσεις Διάταξης

Περιγραφή

Η πρώτη άσκηση ουσιαστικά αναφέρεται στην θεωρία συνόλων, στο καρτεσιανό γινόμενο, στις διμελείς σχέσεις και στις πράξεις στα διάφορα σύνολα. Αποτελείται απο ερωτήσεις πολλαπλής επιλογής των οποίων οι απαντήσεις δεν δίνονται.

Ερώτηση 1 (Πολλαπλής Επιλογής (Μοναδική Απάντηση) — 0 βαθμοί) 

Να παρασταθεί δια αναγραφής το σύνολο Β={x: x ακέραιος και x<=6}

Ερώτηση 2 (Πολλαπλής Επιλογής (Μοναδική Απάντηση) — 0 βαθμοί) 

Εάν Α={x ανήκουν στο R: απόλυτη τιμή του x-2>3} ποιο το συμπλήρωμα αυτού;

Ερώτηση 3 (Πολλαπλής Επιλογής (Μοναδική Απάντηση) — 0 βαθμοί) 

Πως θα περιγράφατε το σύνολο A={2,4,6,8}

Ερώτηση 4 (Πολλαπλής Επιλογής (Μοναδική Απάντηση) — 0 βαθμοί) 

Εαν α,β δεδομένοι πραγματικοί αριθμοί, να βρεθούν οι αριθμοί x,y ώστε (α,β) γνήσιο υποσύνολο του {x^2-y^2,x+y}

x^2 εννοεί χ στο τετράγωνο!

Ερώτηση 5 (Πολλαπλής Επιλογής (Μοναδική Απάντηση) — 0 βαθμοί) 

Τα παρακάτω σύνολα είναι φραγμένα κάτω ή άνω με ελάχιστο-μέγιστο φράγμα:

Ερώτηση 6 (Πολλαπλής Επιλογής (Μοναδική Απάντηση) — 0 βαθμοί) 

Να υπολογίσετε

Ερώτηση 7 (Πολλαπλής Επιλογής (Μοναδική Απάντηση) — 0 βαθμοί) 

Να λυθεί η εξίσωση

Ερώτηση 8 (Πολλαπλής Επιλογής (Μοναδική Απάντηση) — 0 βαθμοί) 

Δίνονται τα σύνολα A={1,4,0}, Β={7,9} . Να βρείτε το καρτεσιανό γινόμενο AxB.

Ερώτηση 9 (Πολλαπλής Επιλογής (Μοναδική Απάντηση) — 0 βαθμοί) 

Εάν το σύνολο Α είναι η τομή των Β,Γ τότε η παρακάτω πρόταση είναι

Ερώτηση 10 (Πολλαπλής Επιλογής (Μοναδική Απάντηση) — 0 βαθμοί) 

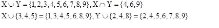
Να προσδιορισθούν τα σύνολα Χ,Υ εάν γνωρίζουμε ότι

Ερώτηση 11 (Πολλαπλής Επιλογής (Μοναδική Απάντηση) — 0 βαθμοί) 

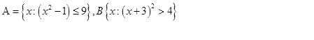
Ποια η τομή των συνόλων

Ερώτηση 12 (Πολλαπλής Επιλογής (Μοναδική Απάντηση) — 0 βαθμοί) 

Εάν τα διατεταγμένα ζεύγη (x+1,y) και (5,x-y) είναι ίσα να υπολογίσετε τα x,y.

Ερώτηση 13 (Πολλαπλής Επιλογής (Μοναδική Απάντηση) — 0 βαθμοί) 

Εάν το καρτεσιανό γινόμενο των συνόλων Α,Β έχει 5 στοιχεία πόσα στοιχεία έχουν τα σύνολα Α και Β;

Ερώτηση 14 (Πολλαπλής Επιλογής (Μοναδική Απάντηση) — 0 βαθμοί) 

Αν Α , Β είναι δύο μη κενά σύνολα, θα λέμ ε ότι το σύνολο Α είναι ίσο με το σύνολο Β όταν

Ερώτηση 15 (Πολλαπλής Επιλογής (Μοναδική Απάντηση) — 0 βαθμοί) 

Αν Α ,Β είναι δύο μη κενά σύνολα, θα λέμε ότι το σύνολο Α είναι υποσύνολο του Β όταν: